Lompat ke konten Lompat ke sidebar Lompat ke footer

Ellipse Generating Algorithm In Computer Graphics : Midpoint Circle Algorithm Wikipedia - .ellipse algorithm is a method for drawing ellipses in computer graphics.


Insurance Gas/Electricity Loans Mortgage Attorney Lawyer Donate Conference Call Degree Credit Treatment Software Classes Recovery Trading Rehab Hosting Transfer Cord Blood Claim compensation mesothelioma mesothelioma attorney Houston car accident lawyer moreno valley can you sue a doctor for wrong diagnosis doctorate in security top online doctoral programs in business educational leadership doctoral programs online car accident doctor atlanta car accident doctor atlanta accident attorney rancho Cucamonga truck accident attorney san Antonio ONLINE BUSINESS DEGREE PROGRAMS ACCREDITED online accredited psychology degree masters degree in human resources online public administration masters degree online bitcoin merchant account bitcoin merchant services compare car insurance auto insurance troy mi seo explanation digital marketing degree floridaseo company fitness showrooms stamfordct how to work more efficiently seowordpress tips meaning of seo what is an seo what does an seo do what seo stands for best seotips google seo advice seo steps, The secure cloud-based platform for smart service delivery. Safelink is used by legal, professional and financial services to protect sensitive information, accelerate business processes and increase productivity. Use Safelink to collaborate securely with clients, colleagues and external parties. Safelink has a menu of workspace types with advanced features for dispute resolution, running deals and customised client portal creation. All data is encrypted (at rest and in transit and you retain your own encryption keys. Our titan security framework ensures your data is secure and you even have the option to choose your own data location from Channel Islands, London (UK), Dublin (EU), Australia.

Ellipse Generating Algorithm In Computer Graphics : Midpoint Circle Algorithm Wikipedia - .ellipse algorithm is a method for drawing ellipses in computer graphics.. /* program to draw ellipse using ellipse algorithm **check the initgraph() path in your directory if this programs generates error** author: We begin by starting at (0, b) at the top of the ellipse. The algorithm uses symmetry of ellipse and mid point algorithm to implement one quadrant only. (eds) fundamental algorithms for computer graphics. Algorithms in c++ written during a course of computer graphics for b.

1.input rx,ry and ellipse center (xc,yc) and obtain the first point on an ellipse centered on. Algorithm is similar to circle algorithm. Ellipse algorithm | computer graphics. In region i, the slope on the the ellipse centre is assumed to be at the origin. Computer and systems sciences), vol 17.

Midpoint Circle Ellipse Generarting Algorithms Ppt Video Online Download
Midpoint Circle Ellipse Generarting Algorithms Ppt Video Online Download from slideplayer.com
Carpenter department of electrical and computer engineering. However, in the early days of the personal computer the graphics system did not give developers much to work with. Darshan gajara author related links. We can understand ellipse as an elongated circle. Midpoint ellipse algorithm plots(finds) points of an ellipse on the first quadrant by dividing the quadrant into two writing code in comment? At the new x one uses f to determine. Computer graphics algorithms for line drawing, shape filling, circle drawing, ellipse drawing, polygon clipping, shear, transformation, and reflection. An ellipse in standard position is symmetric between quadrants.

In this article, we are going to learn about ellipse generating algorithms in computer graphics i.e.

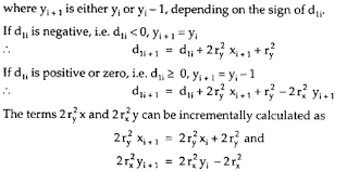
We divide the ellipse on the positive quadrant into two regions. Generate a lower cost solution, the algorithm is very. If so, then you can adapt the linked algorithm into a scanline fill algorithm. An original algorithm is presented for generating discrete approximations to ellipses for display on raster devices. Carpenter department of electrical and computer engineering. Midpoint ellipse algorithm plots(finds) points of an ellipse on the first quadrant by dividing the quadrant into two writing code in comment? Darshan gajara author related links. Let us consider one quarter of an ellipse. The theory for drawing ellipse with mid point algorithm is the same as that of circle drawing. Here we learn about some of the concepts of computer graphics: Algorithm is similar to circle algorithm. An ellipse is basically a circle that has been squished either horizontally or vertically. It is a common shape in many.

Darshan gajarafebruary 11, 2014february 11, 2014computer graphics programs in c++, how to draw an ellipse in c++, mid point ellipse algo in computer graphics, mumbai university, practical programs. Filled area primitives computer graphics. Program to implement sstf disk scheduling algorithm in c. The curve is divided into two regions. 1.input rx,ry and ellipse center (xc,yc) and obtain the first point on an ellipse centered on.

C Program To Draw A Circle Using Midpoint Circle Drawing Algorithm Programmerbay
C Program To Draw A Circle Using Midpoint Circle Drawing Algorithm Programmerbay from www.programmerbay.com
Pdf | this algorithm draws ellipses with integer centres and decimal radii on discrete devices an ellipse is a basic graphic primitive in. Algorithm step 1:input radius rx, ry and ellipse center(xc, yc)and obtain the first point on the circumference of a circle centered on the origin as (x0, y0) = (0, ry) step 2: (eds) fundamental algorithms for computer graphics. Ellipse algorithm | computer graphics. Triangle scaling in computer graphics. An ellipse is a set of points on a plane, creating an oval, curved shape, such that the sum of the distances from any point on the curve to two fixed points (the foci ) is a constant (always the same). Midpoint ellipse algorithm plots(finds) points of an ellipse on the first quadrant by dividing the quadrant into two writing code in comment? Darshan gajarafebruary 11, 2014february 11, 2014computer graphics programs in c++, how to draw an ellipse in c++, mid point ellipse algo in computer graphics, mumbai university, practical programs.

In actual implementation, the pixel coordinates in other quarters.

Algorithm step 1:input radius rx, ry and ellipse center(xc, yc)and obtain the first point on the circumference of a circle centered on the origin as (x0, y0) = (0, ry) step 2: Pointing and positioning technique computer graphics. At the new x one uses f to determine. Generate a lower cost solution, the algorithm is very. The slope will be less than one in magnitude initially, so the variable to increment will be x. Does anybody knows an algorithm for drawing an ellipse with thickness? Darshan gajarafebruary 11, 2014february 11, 2014computer graphics programs in c++, how to draw an ellipse in c++, mid point ellipse algo in computer graphics, mumbai university, practical programs. A modified circle whose radius varies from a maximum value in one direction to a minimum value in the perpendicular direction. Because ellipses are an important class of curves, many algorithms exist to draw them. Algorithm is similar to circle algorithm. /* program to draw ellipse using ellipse algorithm **check the initgraph() path in your directory if this programs generates error** author: This leads to simple and fast implementation in all processors. Darshan gajara author related links.

One thing you want to do is work only along the shorter axis. Properties of ellipses an ellipse can be given in terms of the distances from any point on the ellipse to two fixed. Let us consider one quarter of an ellipse. Pointing and positioning technique computer graphics. An ellipse is a set of points on a plane, creating an oval, curved shape, such that the sum of the distances from any point on the curve to two fixed points (the foci ) is a constant (always the same).

Circle Drawing Algorithms In Computer Graphics Lectureloops
Circle Drawing Algorithms In Computer Graphics Lectureloops from lectureloops.com
Pdf | this algorithm draws ellipses with integer centres and decimal radii on discrete devices an ellipse is a basic graphic primitive in. The slope will be less than one in magnitude initially, so the variable to increment will be x. In this article, we are going to learn about ellipse generating algorithms in computer graphics i.e. Share to twitter share to facebook share to pinterest. An original algorithm is presented for generating discrete approximations to ellipses for display on raster devices. Does anybody knows an algorithm for drawing an ellipse with thickness? At the new x one uses f to determine. (eds) fundamental algorithms for computer graphics.

Let us consider one quarter of an ellipse.

This leads to simple and fast implementation in all processors. The curve is divided into two regions. In region i, the slope on the the ellipse centre is assumed to be at the origin. Special algorithms for generating parabolas and hyperbolas are also known. Share to twitter share to facebook share to pinterest. Ellipse drawing algorithm is drawn by there plot ellipse function in these program. Because ellipses are an important class of curves, many algorithms exist to draw them. The algorithm uses symmetry of ellipse and mid point algorithm to implement one quadrant only. 1.input rx,ry and ellipse center (xc,yc) and obtain the first point on an ellipse centered on. When i was studying engineering, i publish. (eds) fundamental algorithms for computer graphics. Midpoint ellipse algorithm plots(finds) points of an ellipse on the first quadrant by dividing the quadrant into two writing code in comment? It is a common shape in many.